DOI:
https://doi.org/10.14483/2256201X.20026Publicado:
01-07-2023Número:
Vol. 26 Núm. 2 (2023): Julio-diciembreSección:
Artículos de investigación científica y tecnológicaInfluencia de rasgos funcionales en la deposición de ortofosfatos en paisajes interandinos modificados en Colombia
Influence of Functional Traits on Orthophosphate Deposition in Modified Inter-Andean Landscapes in Colombia
Palabras clave:
nutrient limitation, precipitation, isolated trees, interception (en).Palabras clave:
limitación de nutrientes, precipitación, árboles aislados, interceptación (es).Descargas
Referencias
Anna, K. I., Sylwia, Ł., Marcin, Z., Ewa, S. O., & Wojtan, B. (2020). Variability of leaf wetting and water storage capacity of branches of 12 deciduous tree species. Forests, 11(11), 1158. https://doi.org/10.3390/f11111158 DOI: https://doi.org/10.3390/f11111158
Baptista, M. D., Livesley, S. J., Parmehr, E. G., Neave, M., & Amati, M. (2018). Variation in leaf area density drives the rainfall storage capacity of individual urban tree species. Hydrological Processes, 32(25), 3729-3740. https://doi.org/10.1002/hyp.13255 DOI: https://doi.org/10.1002/hyp.13255
Cano-Arboleda, L. V., Villegas, J. C., Restrepo, A. C., & Quintero-Vallejo, E. (2022). Complementary effects of tree species on canopy rainfall partitioning: New insights for ecological restoration in Andean ecosystems. Forest Ecology and Management, 507(September 2021), 119969. https://doi.org/10.1016/j.foreco.2021.119969 DOI: https://doi.org/10.1016/j.foreco.2021.119969
Chiwa, M. (2020). Ten-year determination of atmospheric phosphorus deposition at three forested sites in Japan. Atmospheric Environment, 223(December), 117247. https://doi.org/10.1016/j.atmosenv.2019.117247 DOI: https://doi.org/10.1016/j.atmosenv.2019.117247
Dantas de Paula, M., Forrest, M., Langan, L., Bendix, J., Homeier, J., Velescu, A., Wilcke, W., & Hickler, T. (2021). Nutrient cycling drives plant community trait assembly and ecosystem functioning in a tropical mountain biodiversity hotspot. New Phytologist, 232(2), 551-566. https://doi.org/10.1111/nph.17600 DOI: https://doi.org/10.1111/nph.17600
Duque-Gardeazábal, N., Zamora, D., Vega-Viviescas, C., Arboleda, P., & Rodríguez, E. (2018). Analysis of precipitation features estimated by reanalysis datasets in the Magdalena Cauca Macrobasin, Colombia. Revista Hidrolatinoamericana de Jóvenes Investigadores y Profesionales, 2(1), 22-25. http://iahr.org/Web/News_Journals/Journals/Journal_of_Latin_American_Young_Professionals/Portal/Journals/Journal_of_Latin_American_Young_Professionals.aspx?hkey=a5e8f214-5ee1-4054-9dd5-877170aadf62
Ellsworth, D. S., Crous, K. Y., De Kauwe, M. G., Verryckt, L. T., Goll, D., Zaehle, S., Bloomfield, K. J., Ciais, P., Cernusak, L. A., Domingues, T. F., Dusenge, M. E., García, S., Guerrieri, R., Ishida, F. Y., Janssens, I. A., Kenzo, T., Ichie, T., Medlyn, B. E., Meir, P., … Wright, I. J. (2022). Convergence in phosphorus constraints to photosynthesis in forests around the world. Nature Communications, 13(1), 5005. https://doi.org/10.1038/s41467-022-32545-0 DOI: https://doi.org/10.1038/s41467-022-32545-0
Fleischer, K., Rammig, A., De Kauwe, M. G., Walker, A. P., Domingues, T. F., Fuchslueger, L., García, S., Goll, D. S., Grandis, A., Jiang, M., Haverd, V., Hofhansl, F., Holm, J. A., Kruijt, B., Leung, F., Medlyn, B. E., Mercado, L. M., Norby, R. J., Pak, B., … Lapola, D. M. (2019). Amazon forest response to CO2 fertilization dependent on plant phosphorus acquisition. Nature Geoscience, 12(9), 736-741. https://doi.org/10.1038/s41561-019-0404-9 DOI: https://doi.org/10.1038/s41561-019-0404-9
Ginebra-Solanellas, R. M., Holder, C. D., Lauderbaugh, L. K., & Webb, R. (2020). The influence of changes in leaf inclination angle and leaf traits during the rainfall interception process. Agricultural and Forest Meteorology, 285-286(January), 107924. https://doi.org/10.1016/j.agrformet.2020.107924 DOI: https://doi.org/10.1016/j.agrformet.2020.107924
Hou, E., Luo, Y., Kuang, Y., Chen, C., Lu, X., Jiang, L., Luo, X., & Wen, D. (2020). Global meta-analysis shows pervasive phosphorus limitation of aboveground plant production in natural terrestrial ecosystems. Nature Communications, 11(1), 637. https://doi.org/10.1038/s41467-020-14492-w DOI: https://doi.org/10.1038/s41467-020-14492-w
Ilstedt, U., Bargués Tobella, A., Bazié, H. R., Bayala, J., Verbeeten, E., Nyberg, G., Sanou, J., Benegas, L., Murdiyarso, D., Laudon, H., Sheil, D., & Malmer, A. (2016). Intermediate tree cover can maximize groundwater recharge in the seasonally dry tropics. Scientific Reports, 6(February), 21930. https://doi.org/10.1038/srep21930 DOI: https://doi.org/10.1038/srep21930
Kumar Gautam, M., Lee, K. S., & Song, B. Y. (2017). Deposition pattern and throughfall fluxes in secondary cool temperate forest, South Korea. Atmospheric Environment, 161(June 2018), 71-81. https://doi.org/10.1016/j.atmosenv.2017.04.030 DOI: https://doi.org/10.1016/j.atmosenv.2017.04.030
Lira-Martins, D., Humphreys-Williams, E., Strekopytov, S., Ishida, F. Y., Quesada, C. A., & Lloyd, J. (2019). Tropical tree branch-leaf nutrient scaling relationships vary with sampling location. Frontiers in Plant Science, 10(July), 877. https://doi.org/10.3389/fpls.2019.00877 DOI: https://doi.org/10.3389/fpls.2019.00877
Lu, X., Liu, Y., Liu, L., Zhang, Z., Hu, F., Liu, X., & Sun, X. (2020). Rainfall partitioning and associated nitrate and sulfate fluxes along a slope gradient in a subtropical broadleaved forest. Journal of Hydrology, 591(May), 125584. https://doi.org/10.1016/j.jhydrol.2020.125584 DOI: https://doi.org/10.1016/j.jhydrol.2020.125584
Luna-Robles, E. O., Cantú-Silva, I., González-Rodríguez, H., Marmolejo-Monsiváis, J. G., Yáñez-Díaz, M. I., & Béjar-Pulido, S. J. (2019). Nutrient input via gross rainfall, throughfall and stemflow in scrubland species in northeastern Mexico. Revista Chapingo, Serie Ciencias Forestales y Del Ambiente, 25(2), 235-251. https://doi.org/10.5154/r.rchscfa.2018.12.096 DOI: https://doi.org/10.5154/r.rchscfa.2018.12.096
Magliano, P. N., Whitworth-Hulse, J. I., Florio, E. L., Aguirre, E. C., & Blanco, L. J. (2019). Interception loss, throughfall and stemflow by Larrea divaricata: The role of rainfall characteristics and plant morphological attributes. Ecological Research, 34(6), 753-764. https://doi.org/10.1111/1440-1703.12036 DOI: https://doi.org/10.1111/1440-1703.12036
National Institutes of Health (2019). Image J, Image processing and analysis in Java. https://imagej.nih.gov/ij/index.html
Nytch, C. J., Meléndez-Ackerman, E. J., Pérez, M. E., & Ortiz-Zayas, J. R. (2019). Rainfall interception by six urban trees in San Juan, Puerto Rico. Urban Ecosystems, 22(1), 103-115. https://doi.org/10.1007/s11252-018-0768-4 DOI: https://doi.org/10.1007/s11252-018-0768-4
Oka, A., Takahashi, J., Endoh, Y., & Seino, T. (2021). Bark effects on stemflow chemistry in a Japanese temperate forest I. The role of bark surface morphology. Frontiers in Forests and Global Change, 4(April), 654375. https://doi.org/10.3389/ffgc.2021.654375 DOI: https://doi.org/10.3389/ffgc.2021.654375
Oliva Carrasco, L., Bucci, S. J., Di Francescantonio, D., Lezcano, O. A., Campanello, P. I., Scholz, F. G., Rodríguez, S., Madanes, N., Cristiano, P. M., Hao, G. Y., Holbrook, N. M., & Goldstein, G. (2015). Water storage dynamics in the main stem of subtropical tree species differing in wood density, growth rate and life history traits. Tree Physiology, 35(4), 354-365. https://doi.org/10.1093/treephys/tpu087 DOI: https://doi.org/10.1093/treephys/tpu087
Parker, G. G. (1983). Throughfall and stemflow in the forest nutrient cycle. Advances in Ecological Research, 13(C), 57–133. https://doi.org/10.1016/S0065-2504(08)60108-7 DOI: https://doi.org/10.1016/S0065-2504(08)60108-7
Porada, P., Van Stan, J. T., & Kleidon, A. (2018). Significant contribution of non-vascular vegetation to global rainfall interception. Nature Geoscience, 11(8), 563-567. https://doi.org/10.1038/s41561-018-0176-7 DOI: https://doi.org/10.1038/s41561-018-0176-7
RStudio Team. (2021). RStudio: integrated development environment for R. http://www.rstudio.com/
Rodríguez Torres, L. D. (2021). Análisis multitemporal utilizando imágenes Landsat para la determinación de la pérdida de la capacidad productiva en la cuenca media del Río Magdalena [Trabajo de grado, Universidad Militar Nueva Granada]. http://hdl.handle.net/10654/38983
Runyan, C. W., D’Odorico, P., Vandecar, K. L., Das, R., Schmook, B., & Lawrence, D. (2013). Positive feedbacks between phosphorus deposition and forest canopy trapping, evidence from Southern Mexico. Journal of Geophysical Research: Biogeosciences, 118(4), 1521-1531. https://doi.org/10.1002/2013JG002384 DOI: https://doi.org/10.1002/2013JG002384
Sadeghi, S. M. M., Van Stan, J. T., Pypker, T. G., Tamjidi, J., Friesen, J., & Farahnaklangroudi, M. (2018). Importance of transitional leaf states in canopy rainfall partitioning dynamics. European Journal of Forest Research, 137(1), 121-130. https://doi.org/10.1007/s10342-017-1098-4 DOI: https://doi.org/10.1007/s10342-017-1098-4
Salgado-Negret, B. (2016). Ecología funcional como aproximación al estudio, conservación, manejo y conservación de la biodiversidad. Instituto de Investigación de Recursos Biológicos Alexander von Humboldt. http://ezproxy.unal.edu.co/login?url=http://search.ebscohost.com/login.aspx?direct=true&db=cat02704a&AN=unc.000838205&lang=es&site=eds-live
Sohrt, J., Uhlig, D., Kaiser, K., von Blanckenburg, F., Siemens, J., Seeger, S., Frick, D. A., Krüger, J., Lang, F., & Weiler, M. (2019). Phosphorus fluxes in a temperate forested watershed: Canopy leaching, runoff sources, and in-stream transformation. Frontiers in Forests and Global Change, 2(December), 85. https://doi.org/10.3389/ffgc.2019.00085 DOI: https://doi.org/10.3389/ffgc.2019.00085
Su, L., Zhao, C., Xu, W., & Xie, Z. (2019). Hydrochemical fluxes in bulk precipitation, throughfall, and stemflow in a mixed evergreen and deciduous broadleaved forest. Forests, 10(6), 507. https://doi.org/10.3390/f10060507 DOI: https://doi.org/10.3390/f10060507
Suescún, D., Villegas, J. C., León, J. D., & Correa-Londoño, G. A. (2021). Observational insights on the effects of land use and precipitation seasonality on water-driven circulation of phosphorus in the tropical Andes. Water, Air, and Soil Pollution, 232(6), 250. https://doi.org/10.1007/s11270-021-05195-z DOI: https://doi.org/10.1007/s11270-021-05195-z
van Stan, J. T., & Allen, S. T. (2020). What we know about stemflow’s infiltration area. Frontiers in Forests and Global Change, 3(May), 61. https://doi.org/10.3389/ffgc.2020.00061 DOI: https://doi.org/10.3389/ffgc.2020.00061
van Stan, J. T., & Pypker, T. G. (2015). A review and evaluation of forest canopy epiphyte roles in the partitioning and chemical alteration of precipitation. Science of the Total Environment, 536, 813-824. https://doi.org/10.1016/j.scitotenv.2015.07.134 DOI: https://doi.org/10.1016/j.scitotenv.2015.07.134
Vandecar, K. L., Runyan, C. W., D’Odorico, P., Lawrence, D., Schmook, B., & Das, R. (2015). Phosphorus input through fog deposition in a dry tropical forest. Journal of Geophysical Research: Biogeosciences, 120(12), 2493-2504. https://doi.org/10.1002/2015JG002942 DOI: https://doi.org/10.1002/2015JG002942
Vitousek, P. M., Porder, S., Houlton, B. Z., Oliver, A., Vitousek, P. M., Porder, S., Houlton, B. Z., & Chadwick, O. A. (2010). Terrestrial phosphorus limitation: mechanisms, implications, and nitrogen-phosphorus interactions. http://www.jstor.org/stable/27797785 DOI: https://doi.org/10.1890/08-0127.1
Wilcke, W., Velescu, A., Leimer, S., Bigalke, M., Boy, J., & Valarezo, C. (2019). Temporal trends of phosphorus cycling in a tropical montane forest in ecuador during 14 years. Journal of Geophysical Research: Biogeosciences 124(5), 1370-1386. https://doi.org/10.1029/2018JG004942 DOI: https://doi.org/10.1029/2018JG004942
Yue, K., De Frenne, P., Fornara, D. A., Van Meerbeek, K., Li, W., Peng, X., Ni, X., Peng, Y., Wu, F., Yang, Y., & Peñuelas, J. (2021). Global patterns and drivers of rainfall partitioning by trees and shrubs. Global Change Biology, 27(14), 3350-3357. https://doi.org/10.1111/gcb.15644 DOI: https://doi.org/10.1111/gcb.15644
Zhou, K., Lu, X., Mori, T., Mao, Q., Wang, C., Zheng, M., Mo, H., Hou, E., & Mo, J. (2018). Effects of long-term nitrogen deposition on phosphorus leaching dynamics in a mature tropical forest. Biogeochemistry, 138(2), 215-224. https://doi.org/10.1007/s10533-018-0442-1 DOI: https://doi.org/10.1007/s10533-018-0442-1
Cómo citar
APA
ACM
ACS
ABNT
Chicago
Harvard
IEEE
MLA
Turabian
Vancouver
Descargar cita
Recibido: 12 de octubre de 2022; Aceptado: 10 de abril de 2023
Resumen
Los ecosistemas tropicales tienen altas limitaciones en la disponibilidad natural de fósforo en el suelo, condición que se intensifica con su pérdida y fragmentación. En paisajes modificados, la relación entre árboles aislados y la precipitación puede representar una entrada de PO4-P al suelo. Este estudio realiza mediciones sobre 16 individuos de 4 especies de árboles aislados: Cariniana pyriformis, Cedrela odorata, Luehea seemannii y Nectandra reticulata. Se evaluaron 9 rasgos funcionales en cada individuo y las concentraciones de PO4-P en los flujos de partición de la precipitación. Se encontró una mayor deposición de PO4-P en individuos de N. reticulata y L. seemannii, que presentaron una configuración específica de rasgos funcionales, i.e., una mayor área foliar, una mayor cobertura de epífitas y un mayor porcentaje en densidad de copa. Estos resultados resaltan el papel de estos rasgos funcionales en el mejoramiento de las condiciones biogeoquímicas del suelo en paisajes modificados.
Palabras clave:
árboles aislados, interceptación, limitación de nutrientes, precipitación..Abstract
Tropical ecosystems have high limitations regarding the natural availability of soil phosphorus, a condition that intensifies with their loss and fragmentation. In modified landscapes, the relationship between isolated trees and precipitation may represent an input of PO4-P into the soil. This study measured 16 individuals of four isolated tree species: Cariniana pyriformis, Cedrela odorata, Luehea seemannii, and Nectandra reticulata. Nine functional traits of each individual and the concentrations of PO4-P in the precipitation partition flows were evaluated. The highest concentrations of soil PO4-P were found in individuals of N. reticulata and L. seemannii, which exhibited a specific configuration of functional traits, i.e., a higher leaf area, a higher epiphyte cover, and a higher percentage of canopy density. These results highlight the role of these functional traits in improving soil biogeochemical conditions in modified landscapes.
Keywords:
isolated trees, interception, nutrient limitation, precipitation..INTRODUCCIÓN
El fósforo tiene un rol determinante en los ecosistemas naturales, al ser un elemento esencial para todos los organismos vivos, con implicaciones en procesos bioquímicos clave como la fotosíntesis y la obtención de energía celular, lo que lo convierte en un elemento fundamental para mantener la estructura y composición de los ecosistemas (Vitousek et al., 2010). La baja disponibilidad natural de PO4-P en los suelos de ecosistemas tropicales y su baja movilidad constituyen una gran limitación, que afecta la productividad de las plantas y la cantidad de carbono (C) secuestrado en ecosistemas tropicales (Fleischer et al., 2019; Ellsworth et al., 2022).
La deposición atmosférica contribuye al suministro de fósforo en suelos altamente meteorizados y con limitaciones naturales como los ecosistemas tropicales (Hou et al., 2020), donde las relaciones entre la vegetación y la precipitación están determinadas por las características estructurales y morfológicas del dosel, así como por las condiciones hidrometeorológicas de cada evento de lluvia que determinan la entrada de agua y nutrientes al suelo (Dantas de Paula et al., 2021; Yue et al., 2021). En ecosistemas boscosos, se ha demostrado que la interacción entre el dosel y la lluvia da como resultado la reducción y redistribución de la precipitación (P) en la superficie, afectando la biota del suelo y los procesos ecohidrológicos a escala de paisaje (Sadeghi et al., 2018).
Cuando la precipitación entra en contacto con el dosel, la partición y redistribución de la lluvia en las estructuras de la vegetación desencadena variaciones en la heterogeneidad espacial del agua y la circulación de nutrientes que llegan al suelo (Luna-Robles et al., 2019; Su et al., 2019). En los bosques, en comparación con otros ecosistemas, la precipitación interna (Pi) representa la mayor parte de la lluvia que llega a la superficie (Kumar Gautam et al., 2017), mientras que la escorrentía cortical (Ec) en los árboles rara vez supera el 2 % de la precipitación total (Yue et al., 2021). Sin embargo, la Ec contribuye significativamente al flujo de nutrientes que llegan a la zona radicular (Van Stan & Allen, 2020; Oka et al., 2021). La variabilidad temporal y espacial de la circulación de agua y nutrientes puede diferir entre especies y en la transición de los ecosistemas (Luna-Robles et al., 2019; Su et al., 2019; Yue et al., 2021). Esta condición está influenciada por los rasgos funcionales de las plantas, que pueden determinar la temporalidad y composición química del agua que llega al suelo (Magliano et al., 2019; Su et al., 2019).
Los rasgos funcionales tienen implicaciones importantes en funciones del ecosistema como la regulación hidrológica y biogeoquímica a escala de paisaje (Oliva Carrasco et al., 2015; Dantas de Paula et al., 2021). Se ha demostrado que una combinación particular de rasgos funcionales puede ser determinante en el restablecimiento de funciones hidrológicas en procesos de restauración forestal en ecosistemas Andinos tropicales, donde los rasgos que describen la copa (como el área de la copa, la densidad de la copa, el índice de ramificación, el área de la hoja y la densidad por volumen de la copa) explican la variabilidad temporal de los flujos de agua que llegan al suelo (Cano-Arboleda et al., 2022). Además, otros estudios han relacionado los rasgos foliares, como el área y la densidad de tricomas, con la capacidad de influir en procesos hidrológicos y en la circulación y deposición de nutrientes al suelo en ecosistemas boscosos (Sohrt et al., 2019; Lu et al., 2020). Sin embargo, no existen estudios que evalúen la circulación de PO4-P en árboles aislados de bosques húmedos interandinos modificados, y menos aún su relación con rasgos funcionales que puedan influir en la deposición y circulación de nutrientes limitantes como el PO4-P.
El objetivo de esta investigación fue evaluar cómo los rasgos funcionales de árboles aislados nativos de paisajes modificados de la cuenca media del Magdalena colombiano y las características hidrometeorológicas de diferentes eventos de precipitación influyen en el flujo superficial de agua y las concentraciones de PO4-P que llegan al suelo. Este estudio evaluó los flujos de partición de la precipitación en 16 individuos de 4 especies de árboles aislados nativos que se encuentran comúnmente en paisajes modificados del bosque húmedo tropical colombiano. Se midieron 9 rasgos funcionales y las características hidrometeorológicas en 16 eventos individuales de precipitación. Se discute cómo los rasgos y las condiciones hidrometeorológicas de cada evento de precipitación pueden influir en los flujos hidrológicos y las concentraciones de PO4-P que llegan a la superficie.
MATERIALES Y MÉTODOS
El sitio de estudio se encuentra ubicado en el corregimiento del Prodigio, en el municipio de San Luis, Antioquia, en la cuenca media del río Magdalena Colombiano (6°02'32''N 74°83'36''O), valle interandino, a una altura de 430 m s.n.m. La precipitación media anual en la región es de 4.557 mm, con una temperatura media anual de 26 °C y un comportamiento bimodal (dos épocas húmedas y dos secas al año) asociado a la dinámica de la Zona de Convergencia Intertropical (ZCIT) (Duque-Gardeazábal et al., 2018). La zona corresponde a la zona de vida de Holdridge Bajo Húmedo (Figura 1). En esta región, el paisaje está compuesto por un mosaico de diferentes usos del suelo, generalmente dominados por pastizales para la cría de ganado, alternados con áreas para la producción agrícola y la minería, así como con parches de vegetación nativa y árboles aislados (Rodríguez Torres, 2021).
Figura 1: Localización del sitio de estudio y especies nativas aisladas, i.e., Cariniana pyriformis, Cedrela odorata, Luehea semannii, Nectandra reticulata, en paisajes modificados de la cuenca del Magdalena Medio colombiano
Este estudio evalúa los flujos de partición de la precipitación y las concentraciones de PO4-P que llegan al suelo en la precipitación incidente (P), escorrentía cortical (Ec) y precipitación interna (Pi) de 16 eventos de precipitación individuales entre abril de 2021 y agosto de 2021. Se seleccionaron 16 individuos de 4 especies de árboles aislados: Cariniana pyriformis Miers, Cedrela odorata Linnaeus, Luehea seemannii Triana & Planch y Nectandra reticulata Ruiz & Pav. Estos individuos cumplen con los criterios de árboles nativos, maduros, aislados y ubicados en la misma área geográfica. Los sitios de monitoreo se ubicaron a menos de 1 km entre sí y corresponden a paisajes modificados del bosque húmedo tropical de la cuenca media del Magdalena colombiano (Figura 1).
Protocolo de medición de rasgos funcionales
Se midieron 9 rasgos funcionales en cada uno de los individuos arbóreos, siguiendo protocolos estandarizados (Salgado-Negret, 2016). Estos rasgos funcionales se seleccionaron por su relación con el flujo y la interceptación de agua y nutrientes (Yue et al., 2021; Cano-Arboleda et al., 2022). Cada rasgo fue evaluado de la siguiente manera:
-
Altura de la copa (AC): Distancia tomada desde la base de la copa hasta su parte terminal.
-
Área de la copa (Área C): Promedio de los diámetros de la copa, tomados en sentidos Norte-Sur y Este-Oeste.
-
Densidad de la copa (D_C): Se tomaron fotografías debajo de la copa de cada individuo en los cuatro puntos cardinales, a 1.30 m de altura. Posteriormente, las imágenes fueron procesadas en el programa Image J, en el cual se convirtieron a imagen binaria, y se midió el porcentaje de área en color negro (follaje).
-
Índice de ramificación (IR): Se seleccionaron 3 ramas principales por individuo, y se midió el número de ramificaciones por metro de rama, sin considerar las ramas muertas.
-
Densidad x volumen (DxV): Producto entre la densidad y el volumen de la copa. El volumen se calculó asumiendo que la copa del árbol se asemejaba a una forma cilíndrica.
-
Cobertura de epífitas en el tronco (CE): Se tomaron cuatro fotografías de frente al tronco en dirección a los 4 puntos cardinales, a 1.30 m de altura en un área de 30 x 60 cm del tronco principal en cada individuo. El porcentaje de epífitas se estimó mediante el software ARLIQ en cada una de las fotografías, y se determinó el promedio por individuo.
-
Ángulo de la rama principal (ARP): Se tomaron fotografías a 1 m de distancia de cada árbol, frente a la rama principal. El ángulo se determinó en las fotos con el software Angulus.
-
Diámetro (DAP): Los diámetros de todos los individuos se midieron con una cinta métrica a 1.30 m de altura de la base de cada individuo.
-
Área foliar (AF): Se realizó un monitoreo aleatorio tomando 10 hojas de sol en cada individuo, las cuales se escanearon con un escáner Epson L3210. Con el programa Image J, se determinó el área de la lámina foliar proyectada por cada muestra. El valor promedio de las hojas en cada individuo se determinó como el área foliar.
Monitoreo hidrometeorológico
Las características hidrológicas de cada evento de precipitación (intensidad, duración y días secos antes de cada evento), así como las variables meteorológicas (temperatura, humedad relativa, velocidad y dirección del viento), se registraron mediante una estación meteorológica Davis Vantage Pro2, con una frecuencia de muestreo de 10 minutos, ubicada a menos de 1 km de todos los sitios de monitoreo. Además, se instalaron 2 pluviómetros a campo abierto para determinar P y, en cada individuo, se recolectó la Pi mediante 2 pluviómetros ubicados aleatoriamente debajo de la copa de los árboles. Los volúmenes de agua recolectados se convirtieron a lámina de agua (mm), dividiéndolos por el área de captación de los pluviómetros. La Ec se midió con canaletas de caucho helicoidales instaladas en cada árbol, garantizando la cobertura total de su diámetro, que se unió a un tanque de 40 L. Para las mediciones de Ec, el volumen de agua recolectada en los collares se convirtió a unidades de lámina de agua (mm), dividiendo por el área basal de cada árbol. La precipitación neta (Pn) y la interceptación (I) se calcularon de la siguiente manera: Pn = Pi + Ec y I = P - Pn.
Monitoreo de las concentraciones y flujos de PO4-P
Se cuantificaron las concentraciones de PO4-P en mg PO4-P/l en Pi y en los flujos de Ec y Pi para cada uno de los individuos. Se tomaron medidas volumétricas para Ec en cada árbol, y se realizaron muestras combinadas de los pluviómetros para P y Pi. Luego de la recolección, las muestras de agua fueron refrigeradas y transportadas a un laboratorio certificado, donde se realizó la determinación de las concentraciones mg PO4-P/l siguiendo el método de cromatografía iónica. Los flujos de PO4-P (PO4-P mg/m²) de cada individuo se calcularon a partir del producto entre la concentración media de PO4-P en mg PO4-P/l y la profundidad del agua en (mm) de Pi y Ec para cada evento monitoreado. La concentración de PO4-P en la precipitación neta Pn de cada individuo se determinó como el promedio ponderado entre Pi y Ec. Además, se calculó la deposición neta (Dn) para determinar la llegada de PO4-P a la superficie en cada individuo, así como su aporte a la fertilidad del suelo. Esto, mediante la diferencia entre el flujo de PO4-P en la precipitación neta (Pi + Ec) y el flujo de PO4-P en la precipitación incidente (Parker, 1983). Así, Dn = Pn (PO4-P mg.m-²) - P (PO4-P mg.m-²).
Procesamiento de datos y análisis estadístico
Mediante el software estadístico Rstudio (2021), se verificó la normalidad y la homogeneidad de la varianza para los rasgos funcionales, los flujos hidrológicos y las concentraciones y flujos de PO4-P, utilizando la prueba W de Shapiro-Wilk y las pruebas de Levene. Debido a la naturaleza no normal de los datos, se utilizó una prueba de Kruskal-Wallis (no paramétrica) para comparar los flujos hidrológicos, las concentraciones y los flujos de PO4-P en P, Pi y Ec entre especies y eventos. Cuando surgieron diferencias significativas en la prueba de Kruskal-Wallis, las diferencias específicas entre especies individuales se determinaron utilizando una prueba de rango con signo de Wilcoxon post-hoc.
Relaciones entre rasgos funcionales, flujos hidrológicos y concentraciones de PO4-P
Se determinaron los coeficientes de correlación de Spearman entre las concentraciones de PO4-P en los flujos de partición de la precipitación (Ec, Pi, y la Dn) y los rasgos funcionales evaluados. Para observar las asociaciones y agrupaciones entre los rasgos funcionales y la llegada de PO4-P al suelo en los flujos de partición de la precipitación y su deposición al suelo en todos los individuos, se realizó un análisis de componentes principales (ACP) entre los rasgos funcionales medidos que presentaron relaciones significativas con la deposición neta (Dn) y las concentraciones de PO4-P en los flujos de partición de la precipitación de escorrentía cortical (Ec) y precipitación interna (Pi).
Relaciones entre características hidrometeorológicas de los eventos de precipitación con las concentraciones y la deposición de PO4-P que llegan al suelo
Se analizaron los valores promedio de las características hidrológicas en cada uno de los eventos de precipitación monitoreados, i.e., intensidad (Int), duración (Dr), magnitud (Pi) y días secos antes del evento (Ds), y las variables meteorológicas de temperatura (Temp), humedad relativa (hum), velocidad (V) y dirección del viento (Dv). Esto, para cada uno de los eventos de precipitación monitoreados. Se determinaron las relaciones entre la Dn y las concentraciones de PO4-P que llegan al suelo en los flujos de partición de la precipitación de escorrentía cortical y precipitación interna, utilizando los coeficientes de correlación de Spearman y comparando los valores promedio entre eventos.
RESULTADOS
Rasgos funcionales en árboles aislados
Los valores de área foliar en N. reticulata y L. seemannii fueron más altos (113.92 cm² y 100.10 cm² respectivamente), mientras que C. pyriformis presentó los valores más bajos (22.50 cm²), con diferencias significativas (p<0.05) con N. reticulata. En rasgos como la densidad de copa, N. reticulata (71.05 %) presentó los mayores valores, mientras C. odorata (16.12 %), mostró los menores valores, con diferencias significativas (p<0.05). Además, N. reticulata presentó los valores más altos en cuanto al porcentaje de cobertura de epífitas en el tronco (62.31 %), seguida de L. seemannii (53.78 %), con diferencias significativas con la especie C. pyriformis (p<0.05) (Tabla 1).
Tabla 1: Promedio por especie de los rasgos funcionales medidos: altura de la copa (AC), área de la copa (área C), densidad de la copa (DC), índice de ramificación (IR), área foliar (AF), densidad x volumen (dxV), cobertura de epífitas en el tronco (CE), ángulo de la rama principal (ARP) y diámetro (DAP), evaluados en 4 especies arbóreas aisladas C. pyriformis, C. odorata, L. seemannii y N. reticulata. () representa la desviación estándar. Los valores con diferentes superíndices indican diferencias significativas entre especies
Partición de la precipitación en árboles aislados
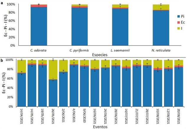
La precipitación promedio durante el periodo de estudio fue de 32.2 mm.evento-1, con un CV de 0.41, donde la precipitación interna promedio fue de 29.60 mm.evento-1, junto con un porcentaje de contribución 91.18 % en el agua que llega al suelo (Figura 2). Como se esperaba, la Ec fue el flujo que presentó la menor contribución, con un promedio de 0.41 mm.evento-1, correspondiente al 1.28 % del agua que llega al suelo. La interceptación promedio en los árboles aislados fue de 2.29 mm, lo que corresponde al 7.08 % de agua que se queda retenida en el dosel (Figura 2).
Figura 2: a) Porcentajes promedio de contribución de los flujos de partición de la precipitación (P): escorrentía cortical (Ec), interceptación (I) y precipitación interna (Pi), monitoreados en 16 eventos individuales. b) Promedio de los flujos de partición de la precipitación para 16 eventos individuales de precipitación medidos en 4 especies arbóreas nativas aisladas del bosque húmedo modificado
Concentración y deposición neta de PO4-P en los flujos de partición de la precipitación en árboles aislados
No se encontraron concentraciones mgPO4-P/l en la precipitación incidente en los 16 eventos monitoreados, mientras que, en los flujos de partición de la precipitación, la Ec presentó las mayores concentraciones mgPO4-P/l en todos los individuos. N. reticulata y L. seemannii, con valores de 1.56 mgPO4-P/l y 1.40 mgPO4-P/l, tuvieron las mayores concentraciones de mgPO4-P/l en Ec, seguidas de C. odorata con 0.32 mgPO4-P/l y C. pyriformis con 0.21 mgPO4-P/l. Se encontraron diferencias significativas de Ec entre las especies N. reticulata y C. pyriformis (p<0.05). La Pi presentó concentraciones promedio de 0.32 mgPO4-P/l, donde la especie N. reticulata, con valores de 0.48 mgPO4-P/l, mostró las mayores concentraciones, seguida de L. seemannii con 0.35 mgPO4-P/l, C. odorata con 0.30 mgPO4-P/l y C. pyriformis, que no superó el límite de detección (Figura 3a).
Figura 3: a) Promedio de las concentraciones de PO4-P en los flujos de partición de la precipitación, escorrentía cortical (Ec), precipitación interna (Pi) y promedio ponderado en la concentración neta (Cn), para 16 eventos individuales de precipitación medidos entre 14/04/2021 y 20/08/2021. Los valores con diferentes superíndices indican diferencias significativas entre especies. b) Deposición neta (Dn) en las 4 especies evaluadas para los 16 eventos monitoreados. Los valores que están por debajo de la línea negra no sobrepasan el límite de detección
Las concentraciones netas de ortofosfatos, medida en mgPO4-P/l que llega al suelo en las diferentes especies, son de 0.51, 0.37, 0.31, y 0.1 mgPO4-P/l para N. reticulata, L. seemannii, C. odorata y C. pyriformis respectivamente, con diferencias significativas entre las especies N. reticulata, y C. pyriformis (p<0.05). La especie N. reticulata presentó el mayor promedio en la deposición neta (0.22 mgPO4-P/m²), seguida por L. seemannii (0.14 mgPO4-P/m²). En general, la mayor deposición de PO4-P se observó en eventos de precipitación de menor intensidad (Figuras 2b y 3b).
Rasgos funcionales y sus relaciones con las concentraciones y la deposición de PO4-P
Se encontraron coeficientes de relación positivos entre los rasgos funcionales y las concentraciones de ortofosfatos (mgPO4-P/l) que llegan al suelo en los flujos de Pi y Ec. Las relaciones más significativas entre los flujos de Pi y Ec se observaron con los rasgos de área foliar, (p=0.64, p=0.73), cobertura de epífitas (p=0.53, p=0.62), densidad de la copa (p=0.76, p=0.60) y el índice de ramificación (p=0.15) (Tabla 2), mientras que la altura de la copa mostró coeficientes de relación negativos (p=-0.81) con las concentraciones de PO4-P en la Pi. En la Dn, se encontraron relaciones positivas significativas con rasgos como área foliar (p=0.63), cobertura de epífitas (p=0.50) y densidad de la copa (p=0.57). El ACP (Anexo 1) explicó el 64.75 % de la varianza, donde el primer componente representa el 47.09 %. Las mayores contribuciones en el primer componente son el área foliar (-0.47) y la cobertura de epífitas (-0.50), mientras que el segundo componente representó el 17.66% de la varianza, en el cual la mayor contribución se observó en el índice de ramificación (-0.62), seguido por la densidad de la copa (-0.45). Los individuos evaluados se distribuyeron en 2 grupos caracterizados por sus rasgos funcionales, donde la cobertura de epifitas, el área foliar y el porcentaje de densidad de la copa estaban asociados con las mayores concentraciones de PO4-P al suelo en las especies N. reticulata y L. seemannii (Anexo 1).
Tabla 2: Coeficientes de relación entre los rasgos funcionales: altura de la copa (AC), área de la copa (área C), densidad de la copa (DC), índice de ramificación (IR), área foliar (AF), densidad x volumen (dxV), cobertura de epífitas en el tronco (CE), ángulo de la rama principal (ARP) y diámetro (DAP). Con las concentraciones de PO4-P que llegan al suelo en precipitación interna ((PO4-P) Pi), escorrentía cortical ((PO4-P) Ec) y la deposición neta (Dn PO4-P) en cada una de las especies evaluadas. (): significancia de las correlaciones
Relación entre las condiciones hidrometeorológicas y las concentraciones y la deposición de PO4-P en el suelo
Se encontraron relaciones significativas entre los días secos antes de los eventos de precipitación y las concentraciones de ortofosfatos (mgPO4-P/l) en Pi (p=0.81) y Ec (p=0.55) (Anexo 2). La intensidad de la precipitación mostró una relación significativa y negativa con la Ec (p=-0.46), mientras que la duración de cada evento tuvo relaciones negativas significativas con la Pi (p=-0.36). La deposición neta presentó relaciones significativas con los días secos antes del evento (p=0.64). Las otras variables evaluadas, i.e., temperatura, humedad y velocidad del viento, no mostraron relaciones significativas con las concentraciones de PO4-P en los flujos de partición de la precipitación y la deposición neta que llegan al suelo (Anexo 2).
DISCUSIÓN
Partición de la precipitación en árboles aislados
Los resultados obtenidos en la (Figura 2a) muestran la capacidad que tienen los árboles aislados para la regulación hidrológica en paisajes interandinos tropicales modificados, valores que se encuentran en relación con otros estudios de árboles aislados en ecosistemas tropicales (Ilstedt et al., 2016; Baptista et al., 2018; Nytch et al., 2019). Las variaciones en los flujos de partición de la precipitación observadas en este estudio se pueden atribuir a cambios en la configuración de los rasgos funcionales de cada especie (Tabla 1) y las características hidrometeorológicas de cada evento de precipitación. Los mayores porcentajes de interceptación de agua en individuos de las especies N. reticulata y L. seemannii están asociados a una composición característica de rasgos, como mayores valores para el área foliar y la cobertura de epifitas en el tronco (Tabla 1). Estos resultados están relacionados con otros estudios en ecosistemas boscosos y árboles individuales, donde se han encontrado relaciones entre el área foliar y la cobertura de epifitas, con una mayor superficie de deposición e interceptación de la precipitación, lo cual permite una mayor regulación de agua en las estructuras del dosel y disminuye la caída directa al suelo (Oliva Carrasco et al., 2015; Baptista et al., 2018; Porada et al., 2018; Sadeghi et al., 2018; Magliano et al., 2019).
Circulación de PO4-P en árboles aislados
En la Figura 3 se confirma que los árboles aislados en paisajes interandinos tropicales modificados tienen la capacidad de aumentar la disponibilidad y las concentraciones de PO4-P en la superficie bajo la copa. En general, las concentraciones de PO4-P fueron bajas en todos los individuos (Figura 3a), similares a las que se han observado en otros estudios en bosques andinos tropicales (Suescún et al., 2021). La precipitación no representó una entrada directa de PO4-P al suelo (Figura 3a). Estos resultados difieren con los de otros estudios en bosques tropicales donde se han reportado concentraciones de PO4-P en la precipitación (Runyan et al., 2013; Vandecar et al., 2015; Wilcke et al., 2019). El aumento en las concentraciones de PO4-P en los flujos de partición de la precipitación que llegaron a la superficie pueden estar influenciados por la lixiviación de PO4-P en el dosel, el intercambio de solutos al contacto con la lluvia y el transporte de aerosoles y polvo en la atmosfera que se depositan en las estructuras de los árboles, los cuales llegan al suelo al ser impulsados por la precipitación (Vandecar et al., 2015; Zhou et al., 2018; Sohrt et al., 2019).
Como se observa en la Figura 3, la escorrentía cortical presentó las mayores concentraciones de PO4-P que llegan a la superficie en los flujos de partición de la precipitación en todas las especies evaluadas. Se ha demostrado que, en ecosistemas boscosos, la Ec presenta una mayor carga de PO4-P al suelo, al tener una mayor interacción con las estructuras del dosel, lo que la convierte en un importante recurso que llega a la zona radicular (Oka et al., 2021; Suescún et al., 2021). N. reticulata y L. seemannii, con una configuración de rasgos característicos como mayor área foliar, densidad de la copa y cobertura de epífitas, mostraron las mayores concentraciones de PO4-P en los flujos que llegan a la superficie (Figura 3a). El área foliar y la cobertura de epífitas presentaron relaciones significativas con los flujos de partición de la precipitación (Tabla 2), características que potencialmente influyen en la capacidad de las especies para interceptar y movilizar PO4-P en el dosel, al aumentar el área de recepción para aerosoles y partículas transportadas por la atmósfera que pueden enriquecer los flujos que llegan al suelo (Runyan et al., 2013; Lira-Martins et al., 2019; Ginebra-Solanellas et al., 2020), mientras que las bajas concentraciones que se presentaron en C. pyriformis pueden estar asociadas con la retención del PO4-P en el dosel, como se ha reportado en otras especies de árboles tropicales (Zhou et al., 2018; Sohrt et al., 2019; Suescún et al., 2021).
Rasgos funcionales y su influencia en los flujos de agua y PO4-P en paisajes modificados
A pesar del bajo número de individuos que contempla este estudio (n=16), nuestros resultados evidencian cómo los rasgos funcionales de árboles aislados pueden ayudar a explicar funciones ecosistémicas como la regulación hidrológica y de PO4-P a escala de paisaje en ecosistemas modificados (Anexo 1). Rasgos funcionales como la densidad de la copa, el área foliar y la cobertura de epifitas se destacan como características determinantes para la interceptación y redistribución de la precipitación, mejorando la regulación hidrológica a escala local (Figura 2). Estos resultados guardan relación con estudios en bosques tropicales, donde se ha demostrado que los rasgos foliares y la cobertura de epifitas determinan la variabilidad de los flujos de agua que atraviesan el dosel (Van Stan & Pypker, 2015; Porada et al., 2018). Además, se ha observado que una configuración característica de rasgos funcionales, como un área foliar y una densidad de la copa más altas, aumentan el tiempo, el área de recepción, y la capacidad de interceptación (Lira-Martins et al., 2019; Anna et al., 2020).
Las mayores concentraciones y deposición de PO4-P en los flujos de partición de la precipitación se presentaron en individuos de las especies N. reticulata y L. seemannii, los cuales mostraron una combinación característica de rasgos funcionales como mayor área foliar, densidad de la copa y cobertura de epífitas. Estas características funcionales, como se ha observado en bosques tropicales, están relacionadas con la capacidad que tienen las hojas y las epífitas para el intercambio de nutrientes a través de la lixiviación, lo cual influye en la circulación de solutos como el PO4-P y en el enriquecimiento de los flujos de agua que llegan al suelo (Kumar Gautam et al., 2017; Sohrt et al., 2019; Lu et al., 2020). El mayor índice de ramificación en los individuos de N. reticulata y L. seemannii puede estar asociado a un mayor recorrido y una mayor interacción de la lluvia en las superficies de las ramas y las cortezas, ayudando a enriquecer los flujos de partición de la precipitación (Lira-Martins et al., 2019; Su et al., 2019; Oka et al., 2021). Además, la mayor cobertura de epífitas en estos individuos, como se ha observado en ecosistemas boscosos, puede condicionar los flujos hidroquímicos que llegan al suelo, debido a la capacidad que tienen las epífitas para absorber, retener y enriquecer los flujos de agua que atraviesan el dosel (Van Stan & Pypker, 2015).
Condiciones hidrometeorológicas de los eventos de precipitación y su relación con los flujos de agua y PO4-P
Los resultados que se muestran en el Anexo 2 indican que las concentraciones de PO4-P que llegan al suelo en los flujos de partición de la precipitación pueden ser modificados temporalmente. Esto, de acuerdo con las características de cada evento de lluvia y las condiciones hidrometeorológicas antecedentes. Las variables hidrológicas, tales como una mayor cantidad de días secos antes del evento y una menor intensidad y magnitud en la precipitación, influencian la interceptación de agua en el dosel y, por tanto, el aumento en el flujo del tallo y la precipitación interna, lo cual puede diluir las concentraciones de PO4-P que llegan a la superficie (Runyan et al., 2013; Su et al., 2019). Entretanto, el mayor número de días secos antes de la precipitación está relacionado con una mayor carga de aerosoles y partículas en la atmosfera que se depositan en el dosel, y que luego pueden ser transportadas al suelo a través de los flujos de partición de la precipitación (Wilcke et al., 2019; Chiwa, 2020).
CONCLUSIONES
Este estudio muestra la capacidad que tienen los árboles aislados para la circulación y deposición de PO4-P en el suelo en paisajes interandinos tropicales modificados, donde la circulación interna permite el enriquecimiento de PO4-P en los flujos de partición de la precipitación que llegan al suelo. La regulación hidrológica, así como la circulación y el enriquecimiento de PO4-P en árboles aislados, responde a una configuración de rasgos específicos, tales como una mayor cobertura de epífitas, una mayor área foliar y un mayor porcentaje en densidad de la copa, los cuales se observaron como rasgos característicos de las especies N. reticulata y L. seemannii.
Nuestros resultados aportan al conocimiento de las relaciones entre la precipitación y los árboles aislados, que pueden ser útiles en la gestión de ecosistemas modificados, mejorando la comprensión de la variabilidad espaciotemporal de la regulación hidrológica y la capacidad de los rasgos funcionales para influenciar el enriquecimiento de PO4-P en el suelo. Estos resultados resaltan el papel que cumplen los rasgos funcionales, que constituyen una herramienta para la selección de características que ayuden en procesos de restauración ecológica y en el mejoramiento de las condiciones biogeoquímicas del suelo a escala de paisaje.
Acknowledgements
AGRADECIMIENTOS
Esta investigación fue financiada por la Institución Universitaria Colegio Mayor de Antioquia, a través de la convocatoria interna de investigación. Además, agradecemos a María Eugenia Aguirre, Milady Guzmán y Maribel Duque por su apoyo en las actividades de campo.
REFERENCIAS
ANEXOS
ANEXO 1: Análisis de componentes principales entre los rasgos funcionales medidos que presentan relaciones significativas: densidad de la copa (dc), índice de ramificación (ir), altura de la copa (ac), área foliar (af) y cobertura de epífitas en el tronco (ce), con la deposición neta (dn) y las concentraciones de po4 -p en los flujos de partición de la precipitación: escorrentía cortical (ec) y precipitación interna (pi)
ANEXOS.
ANEXO 2: Coeficientes de relación entre las condiciones hidrometeorológicas de cada evento de precipitación y flujos de ortofosfato que llegan al suelo en especies arbóreas aisladas en ecosistemas modificados. (): significancia de las relaciones
Licencia
Derechos de autor 2023 Colombia forestal

Esta obra está bajo una licencia internacional Creative Commons Atribución-CompartirIgual 4.0.
Colombia Forestal conserva los derechos patrimoniales (copyright) de las obras publicadas, y favorece y permite la reutilización de las mismas bajo la licencia Creative Commons Atribución-CompartirIgual 4.0 Internacional por lo cual se pueden copiar, usar, difundir, transmitir y exponer públicamente, siempre que:
Se reconozcan los créditos de la obra de la manera especificada por el autor o el licenciante (pero no de una manera que sugiera que tiene su apoyo o que apoyan el uso que hace de su obra).








